Myths around Mining and Imperialism

From Le Hub/The Climate Justice Organizing HUB
Jump to navigation Jump to search
  • What links can be made between the mining industry and imperialism?

Today like yesterday, the mining industry is and has been one of the defining goals of imperialism and colonialism. Mines are underpinned by a history of extractivism, colonialism, capitalism, and ecocide to perpetuate the exploitation of marginalised populations and the destruction and plunder of their territory.

The following sections will examine the various ways that North-South and South-North relations are enmeshed in the mining industry. The differing histories and contemporary forms of colonialism and the exploitation of different population groups will be explored, without an attempt to be exhaustive. We will learn in what way the capitalist mining industry an inseparable part of colonial conquest and an ever-present example of colonialism today.

  • What is the learning objective of this article?

This text is part of a series of articles which aims to deconstruct the various myths upheld by the political and economic elites and the mining industry as they pursue their project of ‘energy transition’. This project is being pushed through as quickly as it can by governments, lobbyists, and the international institutions of neoliberalism, all under the cover of protecting the environment. However, it remains important to understand the logistical and industrial issues at the root of the ‘energy transition’, as well as the real interests at play.

By legitimizing the continued existence and growth of the mining sector, these myths are directly in service of capital and the State. It is vital that we deconstruct the myths that threaten both the human population and the whole of the living world. The goal of this series of articles is to offer a counter-discourse to the greenwashing propaganda being pumped out by the forces of colonial capitalism.

  • How to navigate this article?

The myths that we will explore can be read separately, alone, backwards, upside-down, or in your pyjamas. Each section is independent of the others. Feel free to only read about the myths that interest you the most, or browse the article in its entirety.

  • What are our sources?

The majority of the information in this article comes from the book La ruée minière au XXIe siècle : Enquête sur les métaux à l'ère de la transition, written by the investigative journalist Celia Izoard and published by éditions de la rue Dorion in 2024. This article is a summary of the exhaustive research she undertook and published. At the end of this article, you will find citations for the sections of the book that are cited. Links to other resources used to debunk these myths are also included throughout the text.

“Mines allow for the economic development of countries in the global South”

Mining has long been one of the principal aims of colonialism, and has been historically implicated in the colonial and imperial legacies imposed on the global South by the global North.

Today’s mining industries are overwhelmingly based in the global North. So-called Canada is one of the primary mining empires of the Global North : half of all mining companies are Canadian. These companies operate in more than 95 counties and represent assets of more than $335 billion[1]. Far from improving living conditions where they operate, these mines maintain workers in a state of exploitation while destroying local ecosystems and increasing the dependence of the economies of the global South on Western capitalist empires. At the same time, mines are used to develop and enrich the states and companies of the global North.

World distribution of Canadian mining companies

Before exploring contemporary examples of the colonial mining industry, it will be useful to look at the history of mining, beginning with the European colonisation of the Americas.

Colonial history and mining

Open Veins of Latin America, by Eduardo Galeano

By the end of the 15th century, during the first European explorations of the Americas, Europe was experiencing a shortage of gold and other precious metals. [1] Colonists first opened mines in the Antilles, and rapidly expanded throughout South America, exploiting many gold deposits. Indigenous communities were enslaved, subjected to extremely dangerous working conditions and such violence that, by 1503, African slaves were being brought in to replace the workforce that had died. [2]

Alongside this mining activity, the conquistadors looted all kinds of gold artworks created by the Aztec and Inca peoples in order to melt them down and convert them into gold bars. These were repatriated to European cities without the knowledge of the indigenous populations. [3] The transfer of Latin America’s cultural and material wealth to North America and Europe is ongoing today, with an entire clandestine network established to supply artifacts to philanthropists and museums in the global North.

Golden mask of Indi, the Incan sun god

Shortly after colonial gold mining began in the Americas, colonists opened silver mines. Around 1555, new silver processing methods involved soaking the ore in mercury baths and then heating it to evaporate the mercury. Mercury mines were then opened in large numbers in South America, where indigenous miners generally died within four years, according to Eduardo Galeano, author of Open Veins of Latin America, a historical essay on the slave-based and colonial regime of extractivism in South America. [4]

In short, the mining conquest of the Americas was not only the cause of the worst pollution in industrial history, but also led to the slave trade in Africa and the genocide of the indigenous populations of America, which fell from 60 million to 6 million in 150 years. [5]

Mining imperialism in the 20th century

Mining imperialism has not stopped since. Most recently, in the 20th century the Grasberg mine and the Chuquicamata mine are salient examples of the imperialist conquest and genocide that underpin mining activities.

Grasberg mine

Grasberg mine, Indonesia

In the early 1960s, Freeport, a Texas-based mining company, became interested in the Erstberg copper and gold deposit in Papua. [6] As this territory was still a Dutch colony at the time, the United States forced its annexation to the newly independent Indonesia. In 1965, the CIA and other US authorities close to Freeport fomented a coup to replace the communist president of Indonesia with General Suharto, who was favorable to US investment. This operation was accompanied by the massacre of more than a million Indonesian communist sympathizers. [7] The new regime quickly granted Freeport “a concession of more than 1,000 square kilometers for 30 years with a three-year tax exemption.” [8]

The mining company was not subject to any environmental restrictions or royalties to the indigenous Amungme and Kamoro peoples of Papua. [9] Unfortunately, this example is far from uncommon and reflects many other cases that have occurred to this day.

Chuquicamata mine

One such case place in Chile at the beginning of the following decade. Following the election of socialist president Salvador Allende in Chile in 1970, the new government began nationalizing the mining companies operating on Chilean territory. Anaconda Copper, a US giant that owned the Chuquicamata mine until its nationalization in 1971, was one such company. [10] Under orders from US President Nixon, the CIA fomented a coup led by General Pinochet. Once in power, Pinochet changed Chile's mining codes to favour foreign mining companies. As a result, from 1980 to 1990, foreign investment in the country's mines rose from $200 million to $800 million. [11]

Similar imperialist ventures also took place in Argentina, Bolivia, Uruguay, Brazil, and the Philippines: this was not a sudden turn of events, but rather a deliberate and repeated imperialist tactic. [12]

Mining today

Today, mining companies continue their ecocidal colonial enterprise, with the support of the International Monetary Fund (IMF) and the World Bank.

These two international financial organizations are major players in the maintenance of contemporary colonialism. As fervent defenders of neoliberalism, the IMF and the World Bank lend funds to indebted countries (mostly in the Global South). These financial sharks do not do so out of charity: in exchange, they negotiate total control over the policies of debtor countries. The IMF and the World Bank do everything they can to keep indebted countries dependent on the economies, multinationals, and mining companies of the Global North: “dozens of indebted countries subject to loan agreements have been forced to change their mining codes to facilitate large-scale extraction for the benefit of multinationals, generalizing the model of open-pit mega-mining.” [13]

With the increase in demand for metals due to the ‘energy transition’, countries in the Global North are strengthening their hold on international mineral deposits. In the Raw Materials Initiative report, issued in 2008, the European Commission stated its desire outright to “strengthen European presence and investment in Africa in order to gain access to deposits.” [14] They also wish to ensure that China, Russia, Ukraine, South Africa, Argentina, and India do not restrict their metal exports to the European Union.

Local impacts

Mines destroy ecosystems in the Global South, harming both subsistence efforts and the economies of local communities. The toxic waste they generate spreads into the nearby waterways, the air and soil over tens or even hundreds of square kilometres. The animals that live there are slowly poisoned, which harms their survival and threatens the peoples who live off hunting them. Agricultural crops are no less affected. In addition to this extreme pollution, which renders the land infertile, they suffer from increased drought, given that mines consume millions of litres of water every day and that “two-thirds of industrial mines are located in regions threatened by drought.” [15]

For example, the Bou-Azzer mine in Morocco has caused arsenic poisoning in the region's oases. The water, which is used to irrigate crops and provide drinking water for the local population, is now toxic and increasingly scarce. Local agricultural businesses are inevitably suffering the consequences of this pollution. On top of these, there are serious health impacts on mine workers, which are discussed in our article on the myth that 19th-century mines offer good working conditions [FR only]. These combined effects have major repercussions on humans, who are more prone to disease, lack food and water, and experience greater economic insecurity. [16]

In short, mining in the Global South is a continuation of the genocidal and ecocidal colonial enterprise that began more than five centuries ago. The vast majority of mines in the Global South are currently owned by companies from the Global North. Most of the profits go to capitalist mining executives. In exchange, communities receive little more than poverty wages while enduring inhumane and dangerous working conditions and bearing the environmental costs of mining.

“Developing mines in the Global North will allow us to close them in the Global South.”

IMAGE HERE (Blockade of a coal mine in Germany by the Ende Gelände collective)

To open new mines in the Global North, mining lobbies use two arguments: the myth of the “responsible” mine and the myth of the “relocated” mine. These can be summarized as follows: “Just as we try to solve the problem of mining by contrasting the mines of the past with those of the 21st century, the problems of older mines with the realities of present ones, we also contrast mines elsewhere with mines here.” [17] It is this second argument that will be discussed and dismantled below. The most important thing to remember is that opening a mine in the global North will never lead to the closure of a mine in the global South: the two will always coexist in the capitalist system. [18]

According to Justin Trudeau, mines should be opened in Canada because "if we don't, China and other [countries] that will not follow any of the environmental restrictions we are going to put in place will export lithium around the world. " [3] Similar arguments are also being made in international aid networks and even on the far left. Less surprisingly, these arguments are mainly used by mining companies and neoliberal organizations, such as the European Commission, to push through extractive projects in the Global North despite local opposition. [19]

Every mineral deposit will be exploited

However, this is a misleading discourse, as it implies that the “relocated” mine will enable mines in the Global South to be closed, whereas in order to achieve the capitalist energy transition, industries will need to exploit all existing deposits, wherever they are located. [20] Indeed, transferring all current energy demand to “green” energies would require astronomical quantities of metals. Here are a few examples [21]  :

  • Wind turbines are made from tons of aluminum, copper, iron, and concrete.
  • Nuclear power generation requires the extraction of uranium, as well as chromium, copper, nickel, and several alloys.
  • The processing of “green” hydrogen requires nickel, zirconium, and platinum group metals.
Main minerals used in low-carbon energy sources

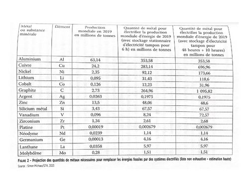
In short, to transition to ‘green’ energy, without even taking into account the metal needs of other industries, we would need to launch a mining boom on a scale unprecedented in human history, which would inevitably have destructive consequences for the environment. Here are the predictions for demand for certain strategic metals if an energy transition were to take place [22]  :

Projection of the quantity of metals needed to replace fossil fuel energy by electrified systems

Given this unattainable demand, mining companies will have to exploit all accessible deposits, without exception and regardless of their location. And what if countries abandon the 'energy transition'? The situation will be the same, since mines supply several other lucrative (dirty) industries, such as the military, automotive, and aerospace industries.

The demand for metals is almost exponential. Industries will consume as much metal as mining companies can produce. One more mine here will therefore never mean one less mine elsewhere: all sites will eventually be exploited.

Finally, claiming that a mine operated in the Global North is better than a mine operated in the Global South is to misunderstand the physical constraints faced by all mining operations [4]:

"Comparing mines here to those abroad fails to take into account the systemic impasse in which industrial mining finds itself. It is somewhat akin to claiming that pesticide-drenched monocultures are more viable in Europe than elsewhere. A mine may be more or less safe depending on regulations, but the determining factor remains the content of the mineral deposit. The lower the content, the greater the volume of waste. The fact that these mines are located on the European continent does not eliminate tailings ponds, water contamination, droughts, and severe weather. Building an economically viable industrial mine in a given area involves creating a sacrifice zone, whether in Europe or elsewhere." [23]

"Comparing mines here to those abroad fails to take into account the systemic impasse in which industrial mining finds itself. It is somewhat akin to claiming that pesticide-drenched monocultures are more viable in Europe than elsewhere. A mine may be more or less safe depending on regulations, but the determining factor remains the content of the mineral deposit. The lower the content, the greater the volume of waste. The fact that these mines are located on the European continent does not eliminate tailings ponds, water contamination, droughts, and severe weather. Building an economically viable industrial mine in a given area involves creating a sacrifice zone, whether in Europe or elsewhere." [24]

So let's not be mistaken: opening a factory in the global North does not mean abandoning another in the global South. Opening a factory in the global North in no way prevents another from being opened in the global South, and mining companies are certainly not shying away from doing so! It is always a case of addition, not substitution.

Conclusion

In conclusion, we have seen that:

  • For more than five centuries, the mining industry has been one of the primary instruments used by Western empires to maintain colonialism.
  • Even today, countries in the Global North and their mining companies maintain their hold over countries in the Global South through the International Monetary Fund and the World Bank.
  • The energy demand required to transition current economies away from fossil fuels is so great that mining companies will exploit all available deposits.
  • Opening a mine in the Global North will never reduce mining in the Global South: it will always be an addition, not a substitution.

This article was written in spring 2025.

If you have any suggested revisions or additional resources to share related to the above content, please email them to ayolehub@proton.me.

  1. Celia Izoard. (2024). La ruée minière au XXIe siècle : Enquête sur les métaux à l'ère de la transition. Éditions de la rue Dorion, p.238-240
  2. Ibid., pp. 243-244
  3. Ibid., pp. 244-245
  4. Ibid., pp. 245-246
  5. Ibid., pp. 246
  6. Ibid., pp.137
  7. Ibid., pp.138
  8. Ibid., pp. 139
  9. Idem
  10. Ibid., pp. 141
  11. Ibid., pp. 142-143
  12. Ibid., pp. 143
  13. Ibid., pp. 143
  14. Ibid., pp. 158
  15. Ibid., pp. 67
  16. Ibid., pp. 96-98
  17. Ibid., pp. 114, author’s italics
  18. Ibid., pp. 116
  19. Ibid., pp. 113-114
  20. Ibid., pp. 115
  21. Ibid., pp. 30
  22. Ibid., pp. 31
  23. Ibid., pp. 118
  24. Ibid., pp. 118